Project Management
Project Management Associate Certificate
British Columbia Institute of Technology
Sept 2024 - April 2026
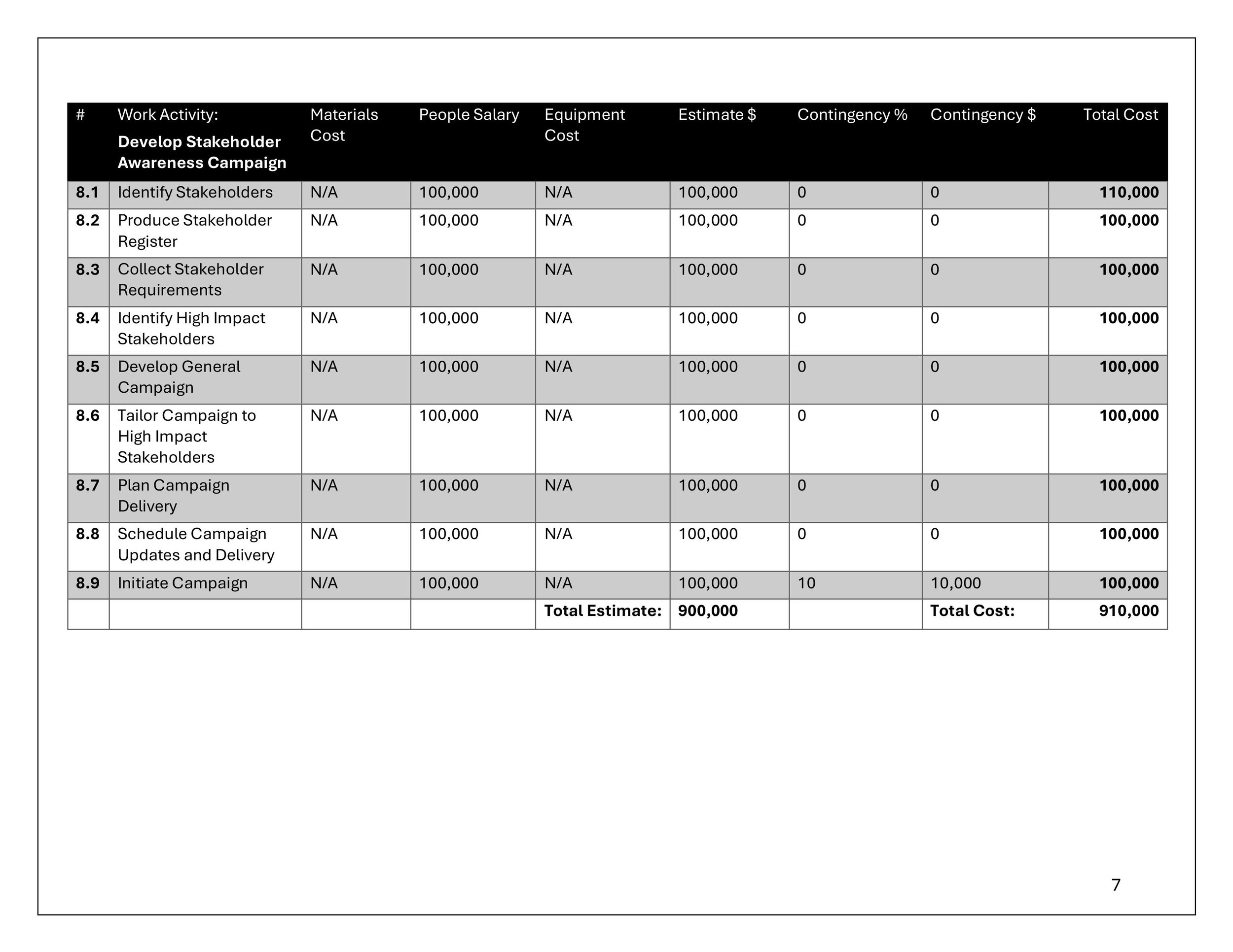
This portfolio page documents both the formal credential and the real work behind it. My BCIT Project Management Associate Certificate formalizes twenty years of applied project management across creative businesses, institutional environments, and community settings. The project galleries below are actual BCIT deliverables: scope, schedule, cost, risk, quality, and stakeholder management applied to real-world complexity.
Applied Experience - Project Management in Practice
Twenty years of applied project management across four distinct environments - formalized through BCIT's PM Associate Certificate:
-

Ora & Aro
My twin businesses have taught me the core principles of Project Management, through extensive customer engagement and collaboration, marketing and social media management, and budgeting and design cohesion.
-

Strata Management
Managing a complex strata corporation over a two year window gave me the extensive opportunity to restructure prior mismanagement and assist in developing a thriving, lucrative investment community.
-

Apparel Design & Production
As a womenswear designer, I completed technical designs and oversaw production of multi-seasonal projects while working alongside the menswear team, and travelling twice annually to Hong Kong for factory liaison duties as well as fabric sourcing, and sample adjustments via Tech Pack illustrations and hands-on fittings.
-

Instructor
I executed instruction for three courses: Design, Illustration, Textile Science. In addition to teaching, I previously also worked as an Instructor’s Assistant, helping with lesson plans and class supply preparation, adapting materials for students with different needs, working with teachers and students to support student education.
Project Plans